壁紙最高の新しいアイデア

Gv Mvpvz

3 Of The Safest High Yield Dividend Stocks To Buy During The

2002 2003 Cascade High School Yearbooks Montana Memory Project

Https Www Baltimoresun Com Food Drink Bal Nancy By Snac At Mica

Category External Jauce Shopping Service Yahoo Japan

2

2

119 Best Ux Images In 2020 Mobile Design Patterns This Or That

Rythu Bazaars Run Out Of Stock The Hindu

Toyota 22r 22re 22rte 5vzfe 2rzfe 3rzfe Oil Filter

Https Link Springer Com Content Pdf 10 1007 2f978 3 319 97670 9 Pdf

Devops For Accelerating The Enterprise Application Lifecycle Ibm

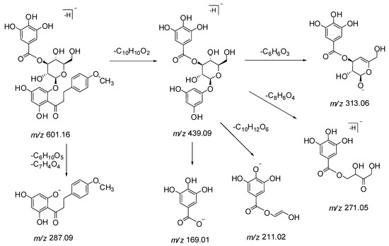
Molecules Free Full Text Identification Of Phytoconstituents

Shop Part 103

Gv Mvpvz

ヤフオク 動作品 I O Data Gv Mvp Vz tvキャプチャb

Master Other Auction Results 11 Listings Marketbook Bz Page

I O Data Gv Mvp Vz 地上 Bs 110度csデジタル対応tvキャプチャbox

Gv Mvp Vz Iodata アイ オー データ機器

0000930413 15 001146 Txt 20150310 0000930413 15 001146

Pittsburgh Sun Telegraph From Pittsburgh Pennsylvania On May 1

Nga Hall Of Fame Intelligence Community News

ヤフオク 動作品 I O Data Gv Mvp Vz tvキャプチャb

Freese S Dissection Of A Regular Dodecagon Into A Regular Hexagon

メルカリ I O Data Usb接続テレビチューナー Gv Mvp Vz Pc周辺機器

メルカリ Io Data Tvキャプチャbox Gv Mvp Vz Pc周辺機器

2

Shop Part 103

October 2018 Issue Flip Book Pages 1 48 Pubhtml5

Gv Roll Buffalo City

Planck S Defense Archives Unmannednews Net

2

Daily Missouri Republican Saint Louis Mo 1858 11 09 St

2

War In The Shallow End Knell

L R C P High Resolution Stock Photography And Images Alamy

2

I O Dataのgv Mvp Vz安定化に成功 へ ん て こ 日 記

R I Tr 500 Flip Book Pages 51 100 Pubhtml5

Why Data Minimization Is The Privacy Principle We Need Now Media

Page 1 Of Our Sports Word Search Puzzles Archive

Exploring Omotesando Tokyo Japan Trend Envy

Cold Storages Proposed For Eight Rythu Bazaars The Hindu

Chapter 15 Linq To Sql And Ado Net Entity Framework Sql Server

Vz Gv Mvpの値段と価格推移は 1件の売買情報を集計したvz Gv Mvpの

2

Nga Hall Of Fame Intelligence Community News

Networking Page 942 B H Photo Video

ヤフオク Iodata デジタルチューナー Gv Mvp Vz Gv Mvp X

Molecules Free Full Text Identification Of Phytoconstituents

The Sanctuary At Tehama Carmel Real Estate Homesite For Sale

Guide Onrush Tips And Tricks To Make You Mvp Everytime Tips

限定一台限り 動作品 I O Data Gv Mvp Vz tvキャプチャbox Win10もok

Recalls For November 2015

2

2

The Missoulian From Missoula Montana On December 30 2005 18

Orbit Diagram Of Two Coupled Logistic Maps Wolfram

I O Data Usb Connection Type Tv Tuner Gv Mvp Vz Digital

Category External Jauce Shopping Service Yahoo Japan

限定一台限り 動作品 I O Data Gv Mvp Vz tvキャプチャbox Win10もok

2

I O Data Usb Connection Type Tv Tuner Gv Mvp Vz Digital

2

119 Best Ux Images In 2020 Mobile Design Patterns This Or That

How To Verify If A Dedicated Server Is Really Dedicated Internet

Gv Mvp Vz 地上 Bs 110度csデジタル 3波対応tvキャプチャbox Usb

Officetrax Software 2020 Reviews Preise Live Demos

Lowell Journal Baptist Young People Annual Convention Of The

Why Data Minimization Is The Privacy Principle We Need Now Media

Journal Of Iime Vo 2 Issue 1 Conference

I Oデータ Gv Mvp Vz とネトゲ Ff11との関係 喫茶 月見鳥

アイ オー データtvキャプチャbox Gv Mvp Vz の落札情報詳細

Rna Encoding A Therapeutic Protein Us 2019 241 633 A1 Patentswarm

日々精進 I O Data Gv Mvp Xz レビュー

2019 Fall Parade Of Homes By Omaha World Herald Issuu

Kali O Kalam August 2019 By Bengal Foundation Issuu

5 Star News Five Star News Digital Collections Oklahoma

Https Www Baltimoresun Com Maryland Carroll Ph Ce Westminster

Gv Mvpvz

Yesware Software 2020 Reviews Preise Live Demos

Iodata Gv Mvp Vz投稿画像 動画 価格 Com

Kali O Kalam November 2018 By Bengal Foundation Issuu

アイ オー データtvキャプチャbox Gv Mvp Vz 爱买 Imaijp 日本代购网

Chapter 7 Increasing Availability Through Testing Sql Server

2

メルカリ I O Data製 Tvキャプチャー サポートディスクgv Mvp Vz

Personalized Single Elf Christmas Tree Ornament 2019 Red Hat

Gv Mvpvz

Category External Jauce Shopping Service Yahoo Japan

119 Best Ux Images In 2020 Mobile Design Patterns This Or That

Gv Mvp Vz Iodata アイ オー データ機器

2

Schedule 14a Proxy Statement Pursuant To Section 14 A Of The

2

Https Library Mskcc Org Sites Library Mskcc Org Media Tutorials Synapse 2018 Synapsepublicationsreport Pdf

Https Www Jstor Org Stable 27588440

1962 Proceedings Of The Casualty Actuarial Society Volume Xlix

Peru Archives Crooked Trails

Https Library Mskcc Org Sites Library Mskcc Org Media Tutorials Synapse 2018 Synapsepublicationsreport Pdf

User Guide Ipcp 505 Ip Link Control Processor Ip Link Products