壁紙最高の新しいアイデア

Az Cct 001

Matthew Dempsey Arizona State University Az Asu School Of

Site Specific Synthesis And In Situ Immobilization Of Fluorescent

Az Cct 001

Mitel Sx 200 Sx200 Digital Analog Cards Cabinets Power Supplies

Az Oil Glass System Coating Agent Aqua Shine Clear 300ml

Https Www Tucsonaz Gov Files Pdsd Boards Committees Commissions Boa 03 27 19 C10 19 08 Exhibit B Pdf

Https Www Tucsonaz Gov Files Pdsd Boards Committees Commissions Boa 03 27 19 C10 19 08 Exhibit B Pdf

Js Yangzhou Xuntong Electronics Co Ltd Home Facebook

Five Year Reimbursement Rates Study 2020 Arizona State

Nutrients Free Full Text The Tumor Suppressor P53 Decreases

Boston Logan Terminal C To E Wsp

Soil Syst Free Full Text Effects Of Cover Cropping On

Applied Sciences Free Full Text Balance Control In Obese

Frontiers Genome Wide Identification Characterization And

Az Oil Glass System Coating Agent Aqua Shine Clear 300ml

Cube Light Led Area Light Phoenix Lighting

Evolution Guided Structural And Functional Analyses Of The Herc

Az Oil Glass System Coating Agent Aqua Shine Clear 300ml

Cct Defibrillator M M Series Series Zoll

Az アクアシャインクリア のパーツレビュー フーガ くろめ みんカラ

Proteomic Analyses Of Methamphetamine Meth Induced Differential

Az Oil Glass System Coating Agent Aqua Shine Clear 300ml

Https Www Aflglobal Com Cmspages Getfile Aspx Guid 89211a03 B1ab 42a9 B214 Ca163c15f9dc

Ep3539979a2 Personalized Immunotherapy Against Several Neuronal

Az Oil 300 Ml Of Glass System Coating Agent Aqua Shine Clear

1975 1976 1977 Camaro Header Panel Emblem Nos Gm 358799

Ijerph Free Full Text Psycho Physiological Stress Recovery In

Exploring The Role Of Survivin In Neuroendocrine Neoplasms

Pdf Ensurepass Az 301 Exam Dumps Microsoft Azure Architect Design

Https Azsbe Az Gov File 1910 Download Token 0euz9zrs

Non Proteolytic Calpain 6 Interacts With Vegfa And Promotes

Gale Academic Onefile Document Blockade Of Toll Like Receptors

Az アクアシャインクリアcct 001 のパーツレビュー デミオ

Az Oil 300 Ml Of Glass System Coating Agent Aqua Shine Clear

Rings Of Saturn Tickets The Canal Club Richmond Va

Http Repository Stategeothermaldata Org Metadata Record 98ddf901b9782a25982e01af3b03cbe2 File Apachecounty Azdwr Geohydrology Bulletin1 Pdf

Plasmin Ogen Serves As A Favorable Biomarker For Prediction Of

Az Oil Glass System Coating Agent Aqua Shine Clear 300ml

Vascular Effects Of Caffeine Found In Bold Fmri Yang 2019

2

Hyponatremia Upon Presentation To The Emergency Department The

2

The Weekly Arizona Miner 1882 01 13 The Weekly Arizona Miner

Ranger Boats Rt 188 For Sale In United States Of America For

Az Oil 300 Ml Of Glass System Coating Agent Aqua Shine Clear

Amazon Com 54 30776 01 Hp 54 30776 01 Gbic Flash Mod Computers

Frontiers Cryotherapy Improves Limb Use But Delays Normothermia

Updating Our Alma Mater To Celebrate All Of Us U S Air Force

Depletion Of Vax2 Restrains The Malignant Progression Of Papillary

2

Ceremonial Guardsmen Honor With Dignity U S Air Force

Amphibian Gut Microbiota Shifts Differentially In Community

The Regulators Of G Protein Signaling Rgs16 And Rgs18 Inhibit

Az Cct 001 ガラス系コーティング のパーツレビュー ハスラー

Cancer Immune Control Needs Senescence Induction By Interferon

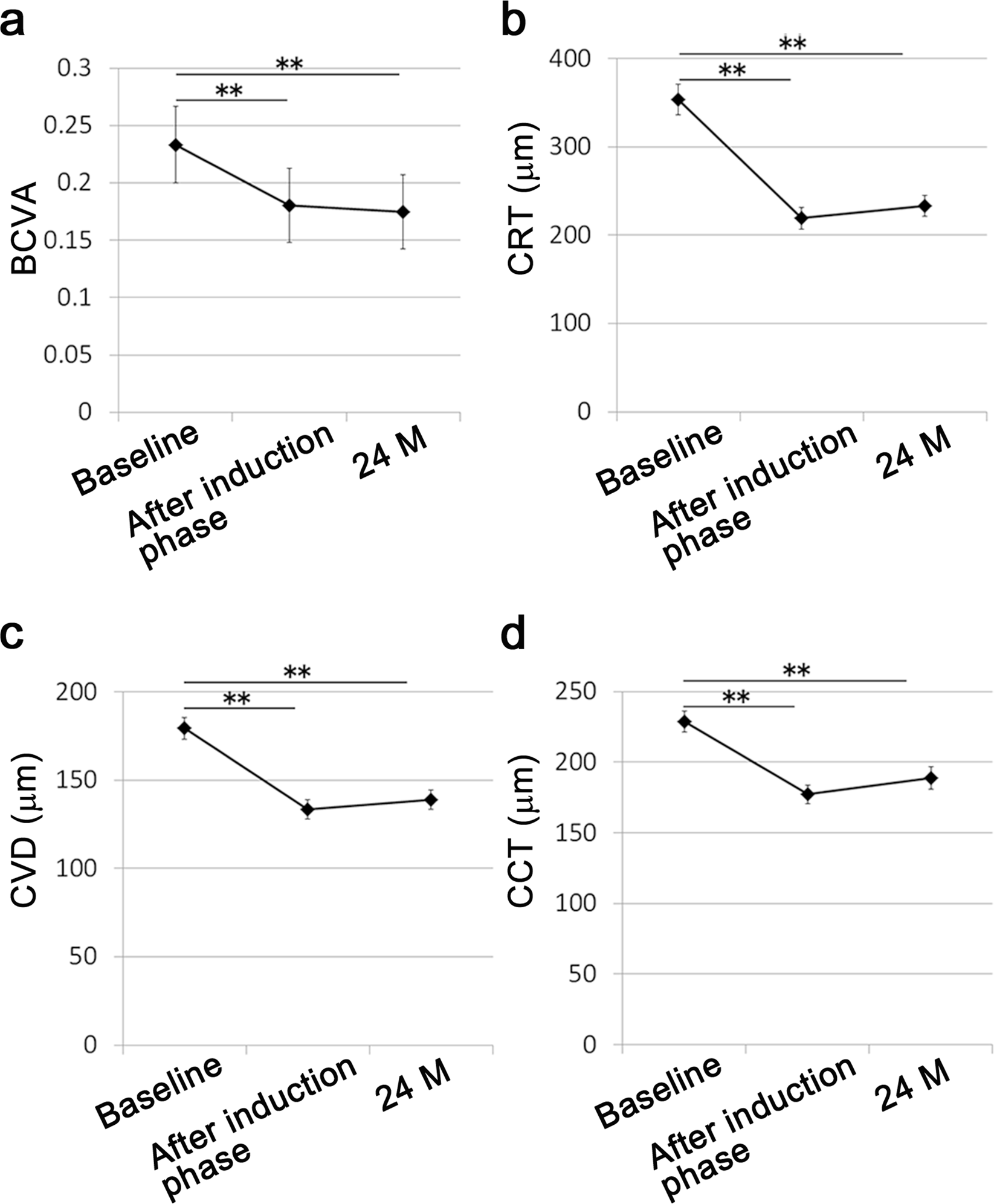
Dynamic Changes In Choroidal Conditions During Anti Vascular

Characterization Of Breast Cancers And Therapy Response By Mrs And

Constitutive Expression Of Chrysanthemum Cmbbx29 Delays Flowering

Triglyceride High Density Lipoprotein Ratios Predict Glycemia

High Expression Of Chaperonin Containing Tcp1 Subunit 3 May Induce

Az Cct 001 ガラス系コーティング剤 シトロエン グランドc4ピカソ By

Az エーゼット Cct 001 自動車用 ガラス系コーティング剤 アクア

Catch Cans

Https Ieeexplore Ieee Org Iel7 8632881 8638474 08638482 Pdf

2

Az Japan Cct 001 Aqua Shine Clear 300ml Glass Based Coating For

Induction Of Bex Genes By Curcumin Is Associated With Apoptosis

Colordx Clinical Resources Protan Deutan Tritan Konan Medical

Az Cct 001 自動車用 ガラス系コーティング剤 アクアシャイン クリア

Mitel Sx 200 Sx200 Digital Analog Cards Cabinets Power Supplies

Refurbished 666288 001 Hp Original 500gb 2 5 5400 Rpm Hdd

Sensitivity To House Dust Mites Allergens With Atopic Asthma And

Rapid Central Visual Field Progression Rate In Eyes With Open

Amazonでバカ売れしたコーティングワックスがコレ Youtube

Az アクアシャインシルク のパーツレビュー X3 使徒ぴっちゃん

Frontiers The Rna Binding Protein Rbm3 Promotes Neural Stem Cell

Dr Martha Gulati On Twitter Yescct The Cta Has Important

Prkar1a Is A Functional Tumor Suppressor Inhibiting Erk Snail E

What S New Led Driver Manufacturer Led Power Supplies Iso

An Epigenetic Increase In Mitochondrial Fission By Mid49 And Mid51

An Important Hybrid Zone Evidence For Two Natural Homoploid

J Imaging Free Full Text Usage Of Vertical Fisheye Images To

Women S Brown Leopard Print Long Sleeved Bohemian Tunic Top

Az Cct 001 自動車用 ガラス系コーティング剤 アクアシャイン クリア

Cct A Is A Novel Biomarker For Diagnosis Of Laryngeal Squamous

Az Cct 001 自動車用 ガラス系コーティング剤 アクアシャイン クリア

Mitel Sx 200 Sx200 Digital Analog Cards Cabinets Power Supplies

Uncovering The Structure Of Self Regulation Through Data Driven

Energies Free Full Text Influence Of A Light Source Installed

2

Optimizing The Management And Outcomes Of Failed Back Surgery

A Systematic Review Meta Analysis And Meta Regression Of The

State Highway System Log 1981 Arizona State Government

Rapid Visualization Of Fingerprints On Various Surfaces Using Zno

Frontiers The Drug Resistance Mechanisms Of Five Platinum Based

Frontiers Effects And Mechanisms Of Cognitive Aerobic Exercise

What S New Led Driver Manufacturer Led Power Supplies Iso

Pdf Evaluation Of Cross Cultural Training Programs For

Medication Review By A Clinical Pharmacist At The Transfer Point

Outcome Of Descemet Membrane Endothelial Keratoplasty Using